https://www.facebook.com/visionmediaent/ https://www.facebook.com/visionmediaent/ https://www.facebook.com/visionmediaent/
Visionpress.info
  • Lajmet e Fundit
    • Kosove
    • Shqipëri
    • Rajoni & Bota
    • Moti
  • Sport
  • Showbiz
  • Shëndeti
  • Të tjera
  • Tech & Auto
  • Video
No Result
View All Result
Visionpress.info
No Result
View All Result

Bulliqi tha se e paguante shumë Tv Llapin, ja sa paguhej ky televizion në të vërtetë

Bulliqi tha se e paguante shumë Tv Llapin, ja sa paguhej ky televizion në të vërtetë
Share on FacebookShare on Twitter

Kryetari i Komunës së Podujevës, Shpejtim Bulliqi, në një seancë të Kuvendit Komunal, ka thënë se për transmetimin e seancave dhe përcjelljen e aktiviteteve të Komunës, ka shpenzuar një shumë të madhe parash ndaj televizionit të kontraktuar ”Tv Llapi”.

https://www.facebook.com/visionmediaent https://www.facebook.com/visionmediaent https://www.facebook.com/visionmediaent

”Ne më herët e kemi pasur televizionin lokal këtu, të cilin e kemi kontraktuar dhe kemi shpenzuar  ”bajagi” një shumë buxheti”, ka thënë ai në seancën komunale.

Por në të vërtetë, Tv Llapi, si televizion i kontraktuar me Komunën, qëndron në një raport të thellë krahasues me mediat tjera të kontraktuara në komunat e tjera, edhe pse përgjegjësia e punës në shumë media tjera të kontraktuara me komunat tjera të Kosovës ka qenë dukshëm më e thjeshtë, sesa përgjegjësia e Tv Llapit.

https://www.laberion.com/ https://www.laberion.com/ https://www.laberion.com/

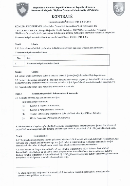
Mediat tjera të cilat kanë përgjegjësi vetëm për realizimin e transmetimit të seancave komunale, janë paguar më shumë se televizioni lokal i Podujevës “Tv Llapi”, ku ky i fundit është paguar vetëm 8 mijë e 175 euro, në vit, për transmetimin e drejtpërdrejt, si dhe për përcjelljen e të gjitha aktiviteteve të Komunës, duke përfshirë edhe përpunimin e materialeve.

Mirëpo, as kjo shumë nuk është marrë e plotë. Tv llapi nga Komuna e Podujevës ka marrë vetëm 7 mijë euro.

Ja dallimi mes shumës së paguar për punën e Tv Llapit dhe mediave nëpër komunat e tjera të Kosovës:

Komuna e Ferizajit: Kontratë prej 220 mijë euro, për 24 muaj;

ADVERTISEMENT

Komuna e Prizrenit: 90 mijë euro, për 36 muaj;

Komuna e Gjilanit: 60 mijë euro per 36 muaj;

Komuna e Gjakovës: 49 mijë e 920 euro, për 24 muaj;

Komuna e Rahovecit: 9 mijë e 920 euro, 24 muaj, vetëm për portal të Kosovapress;

Komuna e Vushtrrisë: 6 mijë euro, për 24 muaj, vetëm për radio.

 

Kontrata e Tv Llapit me Komunën e Podujevës:

 

Poste të ngjashme

Rrahje mes 10 personave në Lluzhan të Podujevës, policia në vendin e ngjarjes

Rrahje mes 10 personave në Lluzhan të Podujevës, policia në vendin e ngjarjes

01/05/2026, 17:18

Përleshjet mes të rinjve janë të shpeshta në vendin tonë dhe ndodhin për motive të ndryshme. Një rast i tillë...

Zyrtare: Zgjedhjet e parakohshme mbahen më 7 qershor

1 Maji, Haxhiu: Sot nderojmë ata që me mund e mbajnë familjen e Kosovën në këmbë

01/05/2026, 12:58

Ushtruesja e Detyrës së Presidentes, Albulena Haxhiu, ka thënë se sot, në Ditën Ndërkombëtare të Punëtorëve, nuk mjafton të shohim...

Vuçiq: Do të luftojmë kundër anëtarësimit të Kosovës në NATO

Vuçiq: Do të luftojmë kundër anëtarësimit të Kosovës në NATO

01/05/2026, 11:31

Kongresisti amerikan, Keith Self, së bashku me dy kolegë tjerë, Ritchie Torres dhe Mike Lawler, kanë paraqitur një rezolutë në...

“O drejtësi o s’ka qetësi”, punëtorët e sektorit privat protestojnë në Ditën e Punëtorëve

“O drejtësi o s’ka qetësi”, punëtorët e sektorit privat protestojnë në Ditën e Punëtorëve

01/05/2026, 11:16

Federata Sindikale e Punëtorëve të Sektorit Privat, në shënim të Ditës Ndërkombëtare të Punëtorëve ka mbajtur protestë në Prishtinë. Protesta...

Me plagë në fytyrë, gjendet pa shenja jete një person në Podujevë

Me plagë në fytyrë, gjendet pa shenja jete një person në Podujevë

01/05/2026, 8:10

Një person në Podujevë është gjetur pa shenja jetë i shtrirë në dysheme. Policia e Kosovës njofton se mjeku kujdestar...

Lajmi i fundit

Rrahje mes 10 personave në Lluzhan të Podujevës, policia në vendin e ngjarjes

Rrahje mes 10 personave në Lluzhan të Podujevës, policia në vendin e ngjarjes

01/05/2026, 17:18
Zyrtare: Zgjedhjet e parakohshme mbahen më 7 qershor

1 Maji, Haxhiu: Sot nderojmë ata që me mund e mbajnë familjen e Kosovën në këmbë

01/05/2026, 12:58
Vuçiq: Do të luftojmë kundër anëtarësimit të Kosovës në NATO

Vuçiq: Do të luftojmë kundër anëtarësimit të Kosovës në NATO

01/05/2026, 11:31
“O drejtësi o s’ka qetësi”, punëtorët e sektorit privat protestojnë në Ditën e Punëtorëve

“O drejtësi o s’ka qetësi”, punëtorët e sektorit privat protestojnë në Ditën e Punëtorëve

01/05/2026, 11:16
Visionpress.tv

Ky portal mirëmbahet nga Vision sh.p.k.. Materialet dhe informacionet në këtë portal nuk mund të kopjohen, të shtypen ose të përdoren për qëllime përfitimi apo në çfarëdo forme tjetër, pa miratimin e drejtuesve të portalit "Visionpress.info".

Kërko sipas kategorisë

  • FUN
  • Kosove
  • Lajmet e Fundit
  • Moti
  • Rajoni & Bota
  • Shëndeti
  • Showbiz
  • Shqipëri
  • Sport
  • Të tjera
  • Tech & Auto
  • Video

Ke një lajm?

Ke një lajm?
  • Privacy Policy
  • Kontakt

Visionpress.tv

  • Lajmet e Fundit
    • Të gjitha
    • Kosove
    • Shqipëri
    • Rajoni & Bota
    • Moti
  • Sport
    • Të gjitha
  • Showbiz
    • Të gjitha
  • Shëndeti
    • Të gjitha
  • Tech & Auto
  • Të tjera
  • Video

Visionpress.tv